Предмет: Алгебра,
автор: anbag13
Помогите пожалуйста. И распишите как что. Не понимаю это повторение
Пример на картинке
Приложения:
Ответы
Автор ответа:
0
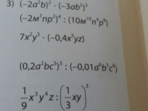
(-2a²b)²*(-3ab²)³=4a⁴b²*(-27)*a³b⁶= -108a⁴⁺³b²⁺⁶= -108a⁷b⁸
(-2m³np²)⁴:(10m¹⁰n⁴p⁸)=(16m¹²n⁴p⁸):(10m¹⁰n⁴p⁸)=1,6m¹²⁻¹⁰n⁴⁻⁴p⁸⁻⁸=1,6m²n⁰p⁰=
=1,6m²*1*1=1,6m²
7x²y³*(-0,4x³yz)=-2,8x²⁺³y³⁺¹z=-2,8x⁵y⁴z
(0,2a²bc³)³:(-0,01a⁶b³c⁹)=(0,2a⁶b³c⁹):(-0,01a⁶b³c⁹)=-20a⁶⁻⁶b³⁻³c⁹⁻⁹=
= -20a⁰b⁰c⁰=-20*1*1*1= -20
1/9x³y⁴z:(1/3xy)³=1/9x³y⁴z:(1/27x³y³)=3x³⁻³y⁴⁻³z=3x⁰yz=3yz
(-2m³np²)⁴:(10m¹⁰n⁴p⁸)=(16m¹²n⁴p⁸):(10m¹⁰n⁴p⁸)=1,6m¹²⁻¹⁰n⁴⁻⁴p⁸⁻⁸=1,6m²n⁰p⁰=
=1,6m²*1*1=1,6m²
7x²y³*(-0,4x³yz)=-2,8x²⁺³y³⁺¹z=-2,8x⁵y⁴z
(0,2a²bc³)³:(-0,01a⁶b³c⁹)=(0,2a⁶b³c⁹):(-0,01a⁶b³c⁹)=-20a⁶⁻⁶b³⁻³c⁹⁻⁹=
= -20a⁰b⁰c⁰=-20*1*1*1= -20
1/9x³y⁴z:(1/3xy)³=1/9x³y⁴z:(1/27x³y³)=3x³⁻³y⁴⁻³z=3x⁰yz=3yz
Автор ответа:
0
откуда в 1 (-27)?
Автор ответа:
0
(-3)³=-27
Похожие вопросы
Предмет: Музыка,
автор: alexandra9428
Предмет: Литература,
автор: Roma156to
Предмет: История,
автор: ofome
Предмет: География,
автор: Anyko