Предмет: Алгебра,
автор: kroll15
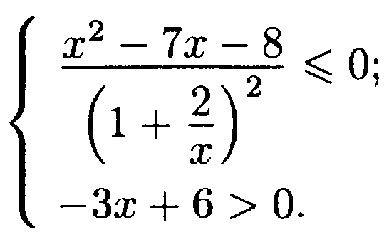
помогите решить систему
Приложения:
Ответы
Автор ответа:
0
Рассмотрим 1 неравенство
(1+2/х)²>0 при любых х кроме х=0,значит
x²-7x-8≤0
x1+x2=7 U x1*x2=-8⇒x1=-1 U x2=8
-1≤x≤8 U x≠0
Решим 2 неравенство
-3x+6>0
3x<6
x<2
x∈[-1;0) U (0;2)
(1+2/х)²>0 при любых х кроме х=0,значит
x²-7x-8≤0
x1+x2=7 U x1*x2=-8⇒x1=-1 U x2=8
-1≤x≤8 U x≠0
Решим 2 неравенство
-3x+6>0
3x<6
x<2
x∈[-1;0) U (0;2)
Похожие вопросы
Предмет: Математика,
автор: svetlana198593
Предмет: Українська мова,
автор: alinamostovaa878
Предмет: Информатика,
автор: maga19321
Предмет: Алгебра,
автор: dima2206199756
Предмет: Физика,
автор: olifirenko1998