Предмет: Алгебра,
автор: 123981293812
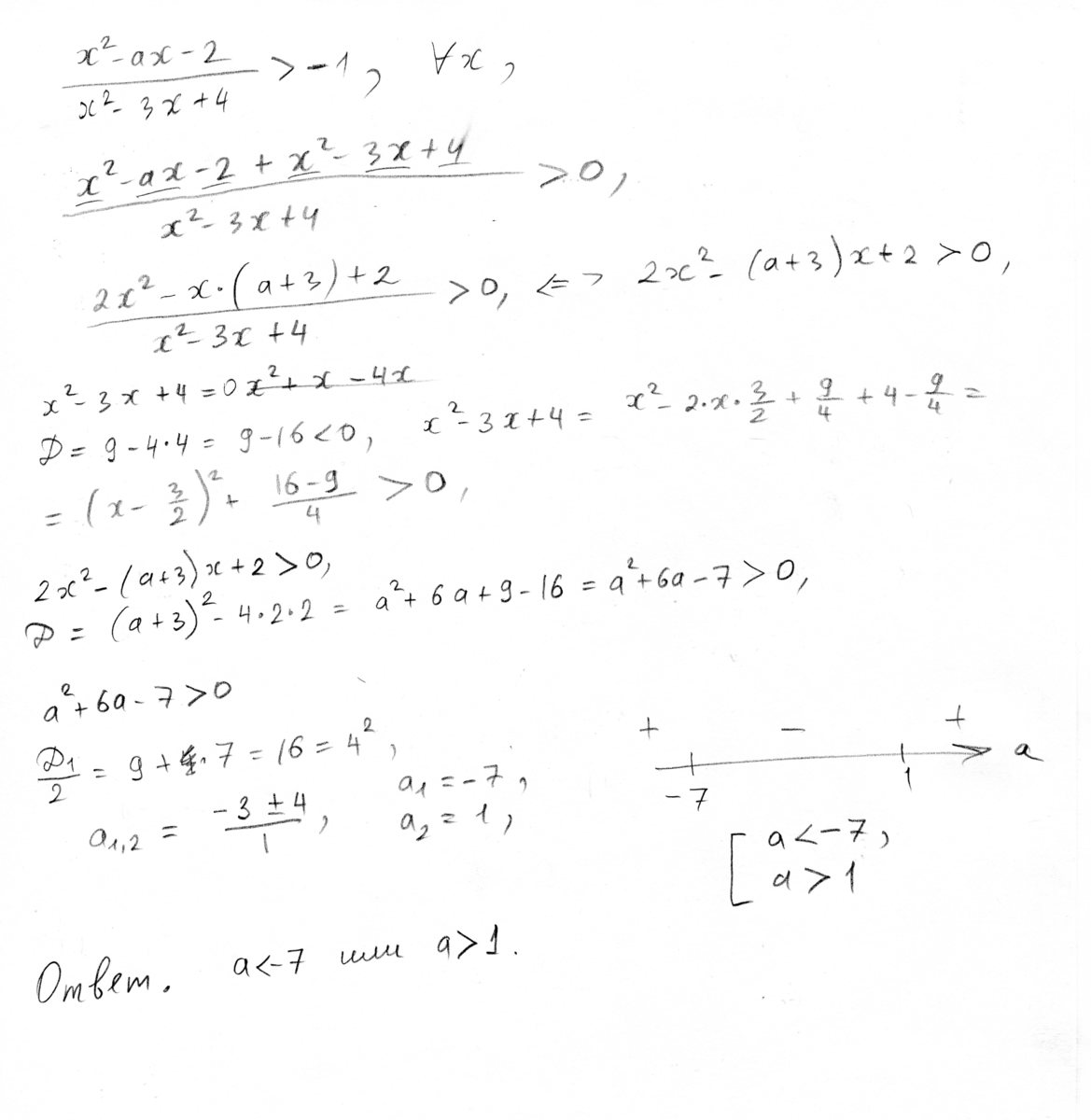
При каких значениях параметра а неравенство x^2-ax-2/x^2-3x+4>-1 выполняется при любых х?
Ответы
Автор ответа:
0
++++++++>>>>>>>>>>>>>>>>>>>>>>>>
Приложения:
Похожие вопросы
Предмет: Русский язык,
автор: Аноним
Предмет: Математика,
автор: feraya51
Предмет: История,
автор: sergejnecaj034
Предмет: Математика,
автор: pavel1211
Предмет: Литература,
автор: ДикийCat