Предмет: Алгебра,
автор: ABCDEFGHIJKLMNOPQR
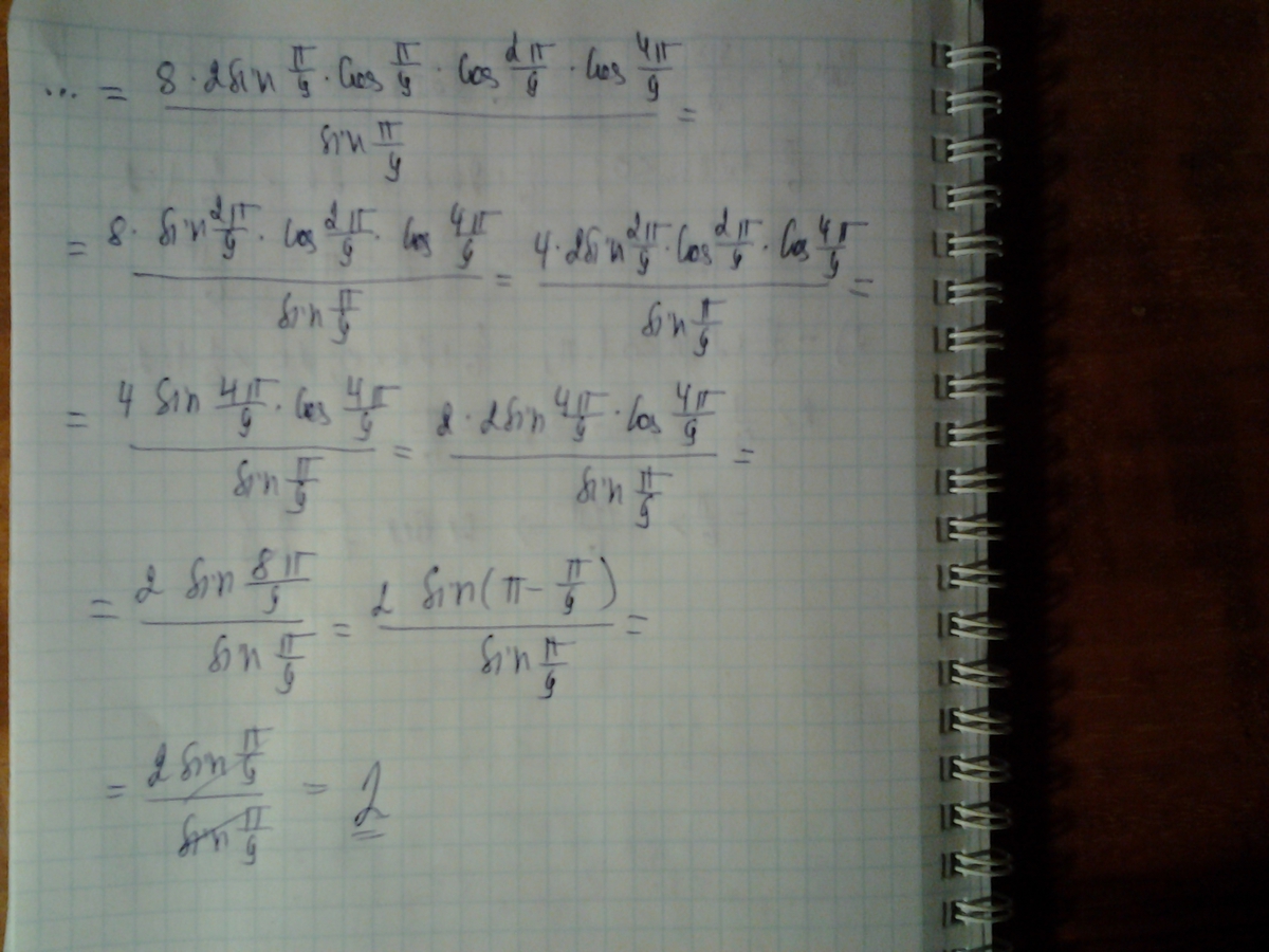
Найти значение выражения
16*cos π/9 * cos 2π/9 * cos 4π/9 =
Ответы
Автор ответа:
0
Применены: формула двойного угла синуса, формула приведения
Приложения:
Автор ответа:
0
Спасибо большое,оказывается,что все легче,чем казалось
Автор ответа:
0
Да. Как только преодолеешь трудности, и всё позади - становится так легко! Вот только чтобы всё оказалось позади, надо надо
Автор ответа:
0
Набраться сил и терпения. Так что, УСПЕХОВ!
Похожие вопросы
Предмет: Биология,
автор: veranikacepel
Предмет: Алгебра,
автор: ylianposipaka123
Предмет: Қазақ тiлi,
автор: marupov0426
Предмет: Литература,
автор: gimbarr29