Предмет: Алгебра,
автор: TrollFace1337
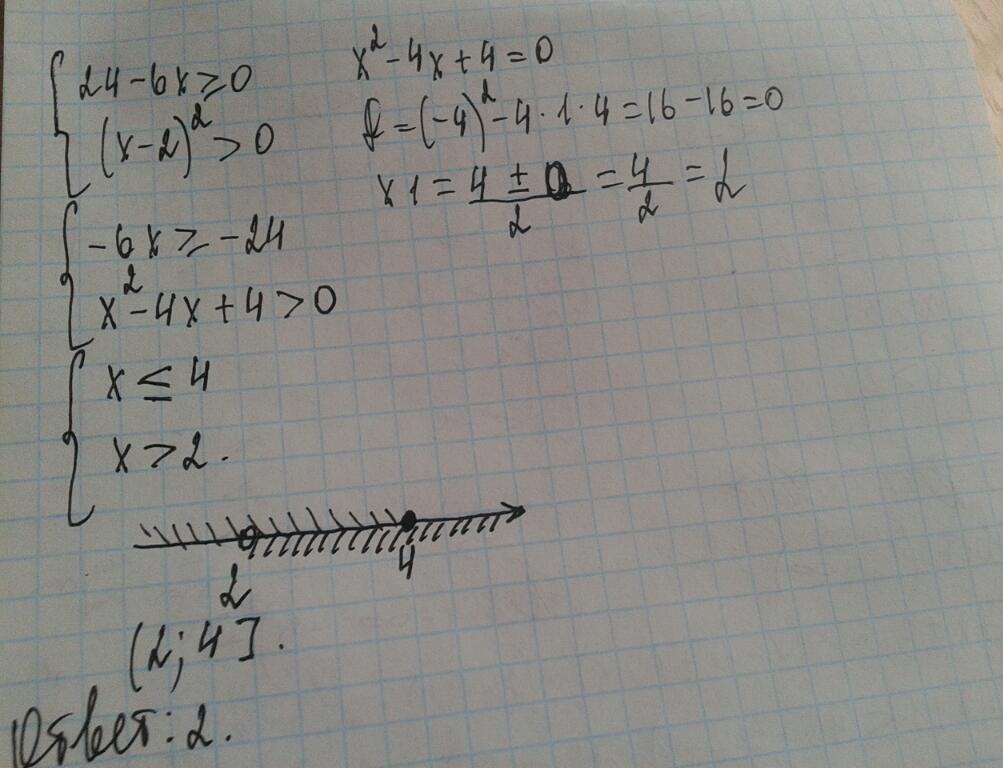
Решите пожалуйста ))
Приложения:
Ответы
Автор ответа:
0
/////////////////////////////////////////////
Приложения:
Похожие вопросы
Предмет: Математика,
автор: bazarovaajman
Предмет: Русский язык,
автор: moaprelest6556
Предмет: Английский язык,
автор: aleksandrashterkel16
Предмет: Математика,
автор: Аноним