Предмет: Математика,
автор: znyna
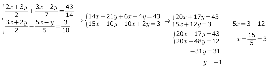
Решите пожалуйста,
если можно с фото.
Приложения:
Ответы
Автор ответа:
0
Ответ: (3; -1)
-------------------
-------------------
Приложения:
Похожие вопросы
Предмет: Математика,
автор: konuspaevagulnaz7
Предмет: Алгебра,
автор: sarkutzharkun
Предмет: Английский язык,
автор: kolasaslyckin
Предмет: Литература,
автор: n189437