Предмет: Математика, автор: vaip4

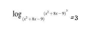
Помогите понять, верно ли это логарифмическое уравнение? 

Приложения:

Ответы

Автор ответа: ааоалало
0
Не равняется трем .......
Автор ответа: vaip4
0
Но если число подставить и решить то верно же вроде будет? В чем заковырка не могу понять
Автор ответа: ааоалало
0
если число поставить то да верно будет
Похожие вопросы
Предмет: Литература, автор: 4Aclass
ПЖ ПЖ ПЖ ПЖ ПЖ ПЖ ПЖ ПЖ ПЖ ПЖ ПЖ ПЖ ПЖ ПЖ ПЖ ПЖ ПЖ ПЖ ПЖ ПЖ ПЖ ПЖ ПЖ ПЖ ПЖ ПЖ ПЖ ПЖ ПЖ ПЖ ПЖ ПЖ ПЖ ПЖ ПЖ ПЖ ПЖ ПЖ ПЖ ПЖ ПЖ ПЖ ПЖ ПЖ ПЖ ПЖ ПЖ ПЖ ПЖ ПЖ ПЖ ПЖ ПЖ ПЖ ПЖ ПЖ ПЖ ПЖ ПЖ ПЖ ПЖ ПЖ ПЖ ПЖ ПЖ ПЖ ПЖ ПЖ ПЖ ПЖ ПЖ ПЖ ПЖ ПЖ ПЖ ПЖ ПЖ ПЖ ПЖ ПЖ ПЖ ПЖ ПЖ ПЖ ПЖ ПЖ ПЖ ПЖ ПЖ ПЖ ПЖ ПЖ ПЖ ПЖ ПЖ ПЖ ПЖ ПЖ ПЖ ПЖ ПЖ ПЖ ПЖ ПЖ ПЖ ПЖ ПЖ ПЖ ПЖ ПЖ ПЖ ПЖ ПЖ ПЖ ПЖ ПЖ ПЖ ПЖ ПЖ ПЖ ПЖ ПЖ ПЖ ПЖ ПЖ ПЖ ПЖ ПЖ ПЖ ПЖ ПЖ ПЖ ПЖ ПЖ ПЖ ПЖ ПЖ ПЖ ПЖ ПЖ ПЖ ПЖ ПЖ ПЖ ПЖ ПЖ ПЖ ПЖ ПЖ ПЖ ПЖ ПЖ ПЖ ПЖ ПЖ ПЖ ПЖ ПЖ ПЖ ПЖ ПЖ ПЖ ПЖ ПЖ ПЖ ПЖ ПЖ ПЖ ПЖ ПЖ ПЖ ПЖ ПЖ ПЖ ПЖ ПЖ ПЖ ПЖ ПЖ ПЖ ПЖ ПЖ ПЖ ПЖ ПЖ ПЖ ПЖ ПЖ ПЖ ПЖ ПЖ ПЖ ПЖ ПЖ ПЖ ПЖ ПЖ ПЖ ПЖ ПЖ ПЖ ПЖ ПЖ ПЖ ПЖ ПЖ ПЖ ПЖ ПЖ ПЖ ПЖ ПЖ ПЖ ПЖ ПЖ ПЖ ПЖ ПЖ ПЖ ПЖ ПЖ ПЖ ПЖ ПЖ ПЖ ПЖ ПЖ ПЖ ПЖ ПЖ ПЖ ПЖ ПЖ ПЖ ПЖ ПЖ ПЖ ПЖ ПЖ ПЖ ПЖ ПЖ ПЖ ПЖ ПЖ ПЖ ПЖ ПЖ ПЖ ПЖ ПЖ ПЖ ПЖ ПЖ ПЖ ПЖ ПЖ ПЖ ПЖ ПЖ ПЖ ПЖ ПЖ ПЖ ПЖ ПЖ ПЖ ПЖ ПЖ ПЖ ПЖ ПЖ ПЖ ПЖ ПЖ ПЖ ПЖ ПЖ ПЖ ПЖ ПЖ ПЖ ПЖ ПЖ ПЖ ПЖ ПЖ ПЖ ПЖ ПЖ ПЖ ПЖ ПЖ ПЖ ПЖ​ дам 20 баллов​