Предмет: Алгебра, автор: Lenok1ok

помогите пожалуйста решить неравенство, захожу в тупик постоянно

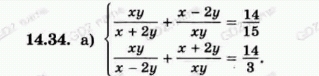
Приложения:

Ответы

Автор ответа: dw18exdva
0
одн x<>0 y <>0 x <>2y x <>-2y

(x^2×y^2+x^2-4y^2)=14/15xy (x+2y)

(x^2-4y^2+x^2×y^2)=14/3 xy (x-2y)

14/15xy (x+2y)=14/3xy (x-2y)
(x+2y)/15=(x-2y)/3
x+2y=5 (x-2y)
4x=12y
x=3y

5y/(3y^2)+y/3y^2=14/15
5/(3y)+1/(3y)=14/15
6/(3y)=14/15
3y=90/14
y=30/14
x=90/14

Похожие вопросы
Предмет: Математика, автор: Аноним
Предмет: Қазақ тiлi, автор: zhalgas10
Қасиетті қазақ халқының салт дәстүрлері өте көп. Соның ішінде қазіргі жастар біле бермейтіндеріне қысқаша тоқталсақ.

Байғазы беру. Үлкеннің кішіге, яғни балаға беретін сыйы. Жас ұл-қыз, бойжеткен, бозбала жан киім кигенде, жаңа зат алғанда аға, апа, ата-әжесінен, туған-туыстарынан оған байғазы сұрайды. Олар байғазыға ақша, мал, мүлік, әйтеуір бір зат беріп, құтты болсын айтады.

Базарлық әкелу. Алыс сапарға шыққан, қыдырып қайтқан, сауда жасап келген адамдар туған -туысқандарына, көрші көлемдеріне, дос-жарандарына ірілі ұсақты сыйлықтар әкеліп береді. Мұны базарлық деп атайды. Ол - жақсы көргеннің, сыйлағанның белгісі.

Бастаңғы жасау. Үйдегі үлкендер жолаушылап кеткенінде қалған жастар өздері бас қосып (келіндер, абысындар, күйеулер, балдыздар болып), немесе замандастарын шақырып ойын-суық өткізеді, әңгіме-дүкен құрады, әртүрлі дәмді тағамдар жасап ішеді. Бұл әдет ғұрыпты бастаңғы жасау деп атайды.Көрісу. Қазақ салты бойынша сағынысып кездескен адамдар бір бірімен құшақтасып амандасады, кісі қайтыс болғанында құшақтасып жыласады, қыз ұзатылғанда да қимастықпен қоштасып, жылайды. Мұны көрісу деп атайды.

Ат тергеу. Ол – адамды сыйлауға арналған ізеттілік әдет-ғұрып. Ұлттық болмыс бойынша әйелдер атасына, қайнағасына, қайнысына, қайын сіңілісіне атын атамау үшін қосымша ат қояды. Мұны ат тергеу деп атайды. Мұндайда қойылатын аттардың кейбірі мынандай: «Мырза қайнаға», «бай атам», «би аға», «тентегім», «еркежан», «шебер шешей», «ақ әже», «сырғалым», «шашбаулым». Жеңгелері қайныларына әзілдеп, бойлары тапал болса «сұңғақтым», жайбасар болса «жүйрігім» деп те ат қояды.

Мәтінде аталған салт-дәстүрлер қазір сақталған ба? Мүмкін, сізге осы дәстүрлер таныс шығар. Қалай ойлайсыз, осы салт-дәстүрлердің маңызы бар ма? Ойыңызды 3-6 сөйлеммен білдіріңіз.

Помогите пожалуйста!!​
Предмет: Алгебра, автор: Виктрия2001