Предмет: Математика, автор: NewUser2015

Дам много баллов, помогите с дифф.уравнениями, хотя бы с одним из 3-х

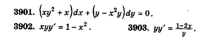
Приложения:

Ответы

Автор ответа: nVikki
0
смотри решение на фото
Приложения:
Автор ответа: NewUser2015
0
спасибо большое, выручили!!
Похожие вопросы
Предмет: Литература, автор: svetlanahegai
50 БАЛЛОВ
Задание 1
1. Прочитайте отрывок из повести Л. Толстого «Кавказский пленник».
Служил на Кавказе офицером один барин. Звали его Жилин. Пришло раз ему письмо из дома. Пишет ему старуха мать: «Стара я уж стала, и хочется перед смертью повидать любимого сынка. Приезжай со мной проститься, похорони, а там и с богом, поезжай опять на службу. А я тебе и невесту приискала: и умная, и хорошая, и именье есть. Полюбится тебе, может, и женишься и совсем останешься». Жилин и раздумался: «И в самом деле: плоха уж старуха стала; может, и не придется увидать. Поехать; а если невеста хороша — и жениться можно». Пошел он к полковнику, выправил отпуск, простился с товарищами, поставил своим солдатам четыре ведра водки на прощанье и собрался ехать. На Кавказе тогда война была. По дорогам ни днем, ни ночью не было проезда. Чуть кто из русских отъедет или отойдет от крепости, татары или убьют, или уведут в горы. И было заведено, что два раза в неделю из крепости в крепость ходили провожатые солдаты. Спереди и сзади идут солдаты, а в средине едет народ. Дело было летом. Собрались на зорьке обозы за крепость, вышли провожатые солдаты и тронулись по дороге. Жилин ехал верхом, а телега с его вещами шла в обозе. Ехать было 25 верст. Обоз шел тихо; то солдаты остановятся, то в обозе колесо у кого соскочит, или лошадь станет, и все стоят — дожидаются. Солнце уже и за полдни перешло, а обоз только половину дороги прошел. Пыль, жара, солнце так и печет, а укрыться негде. Голая степь, ни деревца, ни кустика по дороге.
1. Озаглавьте отрывок.


_____________________________________________________________________________
2.Разбейте карандашом текст на смысловые части.



1.________________________________________________________________
2._________________________________________________________________
3._________________________________________________________________
4._________________________________________________________________

3 . Составьте простой план.
План
_________________________________________________________________________________________________________________________________________________________________________________________________________________________________________________________________________________________________________________________________________________________________________________________________
4. Подберите к каждому пункту плана соответствующие цитаты.
Предмет: Информатика, автор: андрей15101999