Предмет: Алгебра,
автор: Sevastian2001
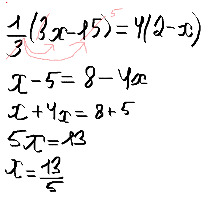
решить номер 3
8 класс
Приложения:
Ответы
Автор ответа:
0
а) -2(а-3)²-(5а-2)(5а+2)
-2(а²-6а+9)-(25-а²)
-2а²+12а-18-25+а²
-а²+12а-43
а=-2
-(-2)²+12(-2)-43=-4-24-43=-71
б) 3х(х-4)-(х+3)²
3х²-12х-(х²+6х+9)
3х²-12х-х²-6х-9
2х²-18х-9
х=2
2(2)²-18*2-9=8-36-9=-37
№2(б) на фото
-2(а²-6а+9)-(25-а²)
-2а²+12а-18-25+а²
-а²+12а-43
а=-2
-(-2)²+12(-2)-43=-4-24-43=-71
б) 3х(х-4)-(х+3)²
3х²-12х-(х²+6х+9)
3х²-12х-х²-6х-9
2х²-18х-9
х=2
2(2)²-18*2-9=8-36-9=-37
№2(б) на фото
Приложения:
Автор ответа:
0
Сейчас попробую
Автор ответа:
0
спасибо
Автор ответа:
0
Всё
Автор ответа:
0
Спасибо огромное:)
Автор ответа:
0
Не за что с:
Похожие вопросы
Предмет: Математика,
автор: banutazabekova4
Предмет: Русский язык,
автор: islammaratovic
Предмет: Физика,
автор: alenaazarova586
Предмет: Математика,
автор: kokovin