Предмет: Алгебра,
автор: rina2199
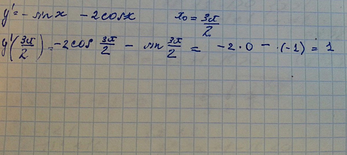
Найдите значение производной функции y=cos x- 2sin x,при x0(x нулевое)=3П/2
Ответы
Автор ответа:
0
смотрите решение на фото
Приложения:
Похожие вопросы
Предмет: Русский язык,
автор: Аноним
Предмет: Информатика,
автор: AnneStef
Предмет: Русский язык,
автор: batyrka123
Предмет: Математика,
автор: ladyklepp