Предмет: Алгебра, автор: marinabadalyan6

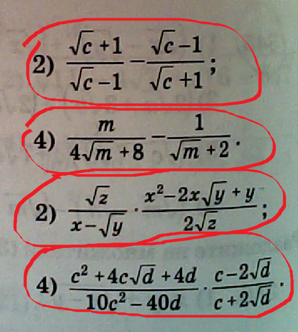
ПОМОГИТЕ СРОЧНО! смотрите на фото ДАМ 80 БАЛЛОВ если упростите все выражения которые отмечены красным кружком
Упростите выражение

Приложения:

Ответы

Автор ответа: trashcan02
0
Состав молекул углеводородов соответствует общей формуле CnH2n +2. К какому классу веществ могут относиться эти углеводороды?
Похожие вопросы
Предмет: Русский язык, автор: PoMaGiTePLS
Исправьте ошибки,даю 100 баллов. Заранее спасибо
В начале 14 главы серебряный сидел с Годуновым за столом,уставленным кубками. Серебряный спросил у Годунова,что стало с царем,а тот в ответ пожал плечами . Дальше у них завязался диалог.Годунов сказал:-"Государь часто желает о своих злодеяниях и молится". Позже приехал Михеич который сообщил,что Малюта и Хомяк на царевича надели башлык. Князь как это услышал сел на кона и поехал в погоню за Малютой.Дальше была песня,где описывались события,как государь Иван ходил под Казань,как его Малюта-злодей похитил и,как Никита Романыч поехал бить малюту. Песня эта помогала народу узнать,что случалось при царском дворе. Малюта скакал по дремучему лесу со своими опричниками. Скакал он к Поганой луже. Он скрывал от опричников,что везёт царевича,ведь тогда бы они отказались вести его на смерть. Малюта скакал вместе с хомяком,и спросил у хомяка есть ли за ними чужие подковы,тот ответил нет. Малюта проговаривает чтобы не было за ними погони и почти тут же слышит за собой :Стой,Григорий Лукьяныч! Серебряный был за плечами у Скуратова и нагнав его ударил ему по щеке.Малюта свалился и князь уже было хотел разрубить его саблей,как почувствовал над своей головой другую саблю. Это был хомяк. Завязался бой между серебряным и хомяком. Князь под о подмоге, как сразу же она подоспела . Завязался бой между отрядом Коршуна и опричников. Среди толпы был Митька который бил толпу и даже лез на самого хомяка. Митька узнал похитителя невесты(кто это? Какой невесты? Останется для меня тайной?)Он поднял биту и ударил ей в хомяка,но он уклонился и удар попал в голову коня,тот скончался. Битва кончилась.Один Малюта спасся .Серебряный с появлением разбойников бросился к царевичу и отвёл его в сторону. Царевич поблагодарил своих защитников . Перстень начал говорит,что знал бы он,что это государь,взял бы армию побольше. Как потом выяснилось Митька придавил Хлопко вместо Хомяка. Царевич и разбойники захохотали над ошибкой Митьки. Толпа двинулась из леса окружая царевича. Когда показалось поле, Перстень остановился. Завязался разговор между Перстнем,где князь сказал,что замолвит слово батюшке-царю за его воровство. Но перстень не захотел отречься от своего воровства. Дальше идёт песня в которой царь предлагает серебряному пол царство,но он отказывается.Но в песне говорится не Правда,летописи говорят,что Малюта был в чести у Ивана Васильевича. Когда Русь и Иван начали ненавидеть Малюту. Иоанн стал единственноц опорой Малюты.​
Предмет: Химия, автор: karolina234