Предмет: Математика,
автор: mikola412
найдите корень
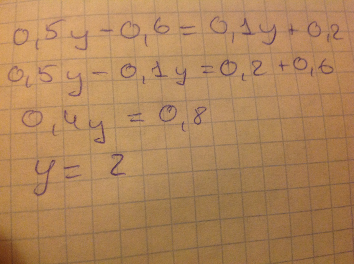
0,5y-0,6=0,1y+0,2
10 баллов Пож
Ответы
Автор ответа:
0
Должно быть так. Ответ: 2
Приложения:
Автор ответа:
0
0.5y - 0.6 = 0.1y + 0.2 | 10 (домножим на 10, чтобы легче было)
5y - 6 = 1y + 2
5y - 1y = 2 + 6
4y = 8
y = 8 : 4
y = 2
Ответ: 2
5y - 6 = 1y + 2
5y - 1y = 2 + 6
4y = 8
y = 8 : 4
y = 2
Ответ: 2
Приложения:
Похожие вопросы
Предмет: Қазақ тiлi,
автор: people12026
Предмет: Математика,
автор: elkovaliza415
Предмет: Русский язык,
автор: ralmul2012
Предмет: История,
автор: timfeikz