Предмет: Математика,
автор: alinaa1555
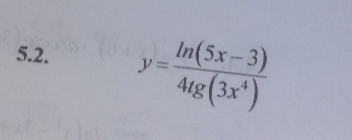
найдите производную функции!!!!!!
Приложения:
Ответы
Автор ответа:
0
решение 3,2 и 4,2 внизу на фото.
Приложения:
Похожие вопросы
Предмет: Русский язык,
автор: daniyarmindiyarov
Предмет: Математика,
автор: sarvar69
Предмет: Математика,
автор: omertayev
Предмет: Обществознание,
автор: Аноним
Предмет: Математика,
автор: maria1976