Предмет: Алгебра,
автор: виктория2911
решите на листке, пожалуйста
Приложения:
Ответы
Автор ответа:
0
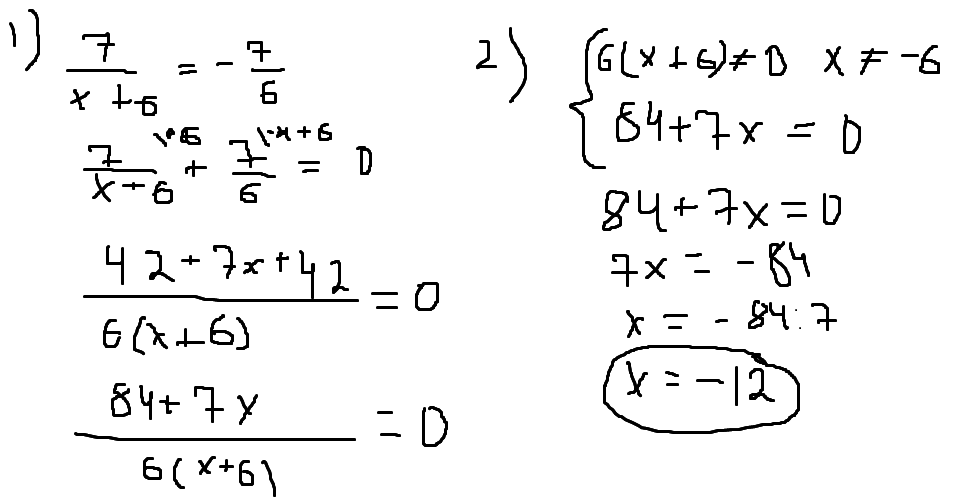
Если есть вопросы - задавайте. Извините, что так долго, проблемы с фотоаппаратом, пришлось переписывать в пеинте :(
Приложения:
Похожие вопросы
Предмет: Английский язык,
автор: Аноним
Предмет: Алгебра,
автор: funzero733
Предмет: Литература,
автор: ulyana4320
Предмет: Математика,
автор: yakimkinaa