Предмет: Алгебра,
автор: natali12061
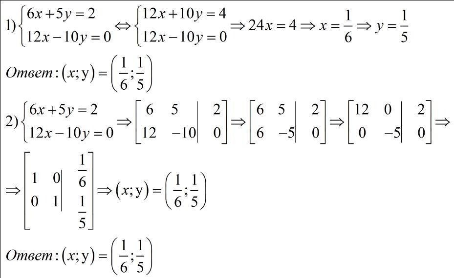
6х+5у =2
12х-10у=0
Помогите решить систему уравнения додаванием
Ответы
Автор ответа:
0
6х+5у =2 | *2
12х-10у=0
-----------------------
12х+10у =4
12х-10у=0
---------------------- сложим почленно
24х =4 ⇒ х=1/6
6* (1/6)+ 5у=2 ⇒ 5у=1 ⇒ у=1/5
Ответ (1/6; 1/5)
Автор ответа:
0
Ответ:
Объяснение:
........................................
Приложения:
Похожие вопросы
Предмет: Геометрия,
автор: kirakim14
Предмет: Другие предметы,
автор: Аноним
Предмет: Биология,
автор: User1807
Предмет: История,
автор: ninusik0