Предмет: Алгебра,
автор: YanaNV
30 баллов. Ответ нужен срочно! Заранее спасибо)
Приложения:
Ответы
Автор ответа:
0
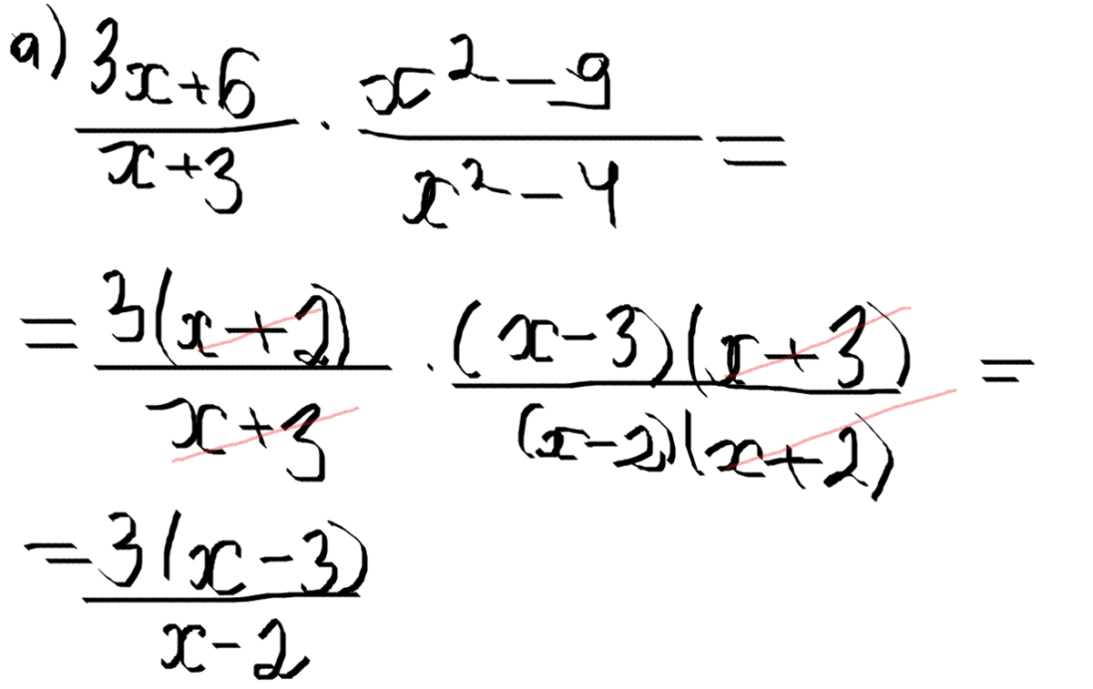
Решение на фото.
1 пример на 1 фото
2 пример на 2 и 3 фото
1 пример на 1 фото
2 пример на 2 и 3 фото
Приложения:
Похожие вопросы
Предмет: Геометрия,
автор: kamilgareev64695
Предмет: Математика,
автор: jahongirabdullaev088
Предмет: Математика,
автор: evgeniagrinevic1805
Предмет: История,
автор: barcik10