Предмет: Алгебра,
автор: kek69nastya
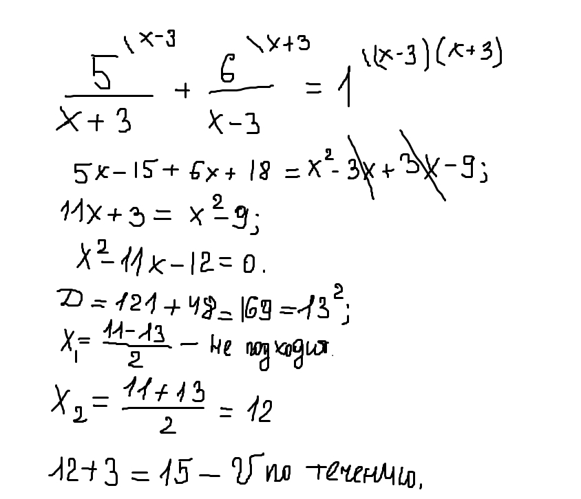
Моторная лодка прошла 5км по течению реки и 6 км против течения, затратив на весь путь 1 ч. Скорость течения равна 3км/ ч. Найдите скорость движение лодки по течение реки. Ответ должен получиться 15 км/ ч.
Ответы
Автор ответа:
0
Пусть х - скорость лодки.
Тогда х+3 - скорость по течению, х-3 - скорость против течения.
5/(х+3)+6/(х-3) = 1 час
Продолжение на рисунке
Тогда х+3 - скорость по течению, х-3 - скорость против течения.
5/(х+3)+6/(х-3) = 1 час
Продолжение на рисунке
Приложения:
Похожие вопросы
Предмет: Математика,
автор: karmryangauna
Предмет: Другие предметы,
автор: Kudlenok2107
Предмет: Русский язык,
автор: annalypetskaya
Предмет: Обществознание,
автор: Olga12121212
Предмет: Математика,
автор: dedf