Предмет: Математика,
автор: Алексанчоус1
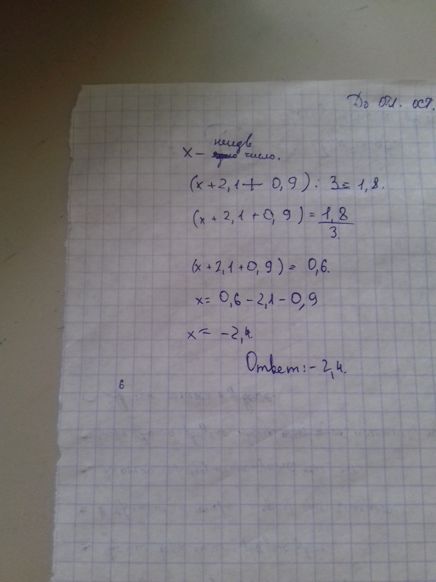
решите пожалуста. с объяснением:Среднее арифметическое трёх чисел равно 1,8. Найдите неизвестное число, если два других равны 2,1 и 0,9
Ответы
Автор ответа:
0
1) Х это третье число
(2,1+0,9+Х):3=1,8
2,1+0,9+х=1,8*3
3+Х=5,4
Х=5,4-3
Х=2,4
Ответ : число имеет значение 2,4.
(2,1+0,9+Х):3=1,8
2,1+0,9+х=1,8*3
3+Х=5,4
Х=5,4-3
Х=2,4
Ответ : число имеет значение 2,4.
Автор ответа:
0
вот))))))))))))))))))))
Приложения:
Похожие вопросы
Предмет: Русский язык,
автор: vikaYarovaya
Предмет: Геометрия,
автор: salvarovaelif94
Предмет: Математика,
автор: veronikacernuhina12
Предмет: Математика,
автор: ydarnik2003