Предмет: Математика,
автор: Ананасинкавики
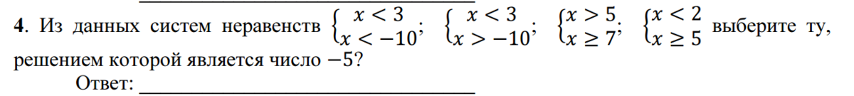
Решите,буду очень благодарна))
Приложения:
Ответы
Автор ответа:
0
вторая система. -5 как раз меньше 3 но больше минус 10
Похожие вопросы
Предмет: Математика,
автор: Аноним
Предмет: Обществознание,
автор: stepant07
Предмет: Биология,
автор: dennis110107
Предмет: Математика,
автор: pandaizebra
Предмет: Математика,
автор: lykovmaks614