Предмет: Алгебра,
автор: Arina1Avada
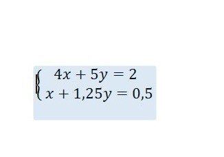
ПЛИИИЗ! Сколько решений имеет система уравнений
Приложения:
Ответы
Автор ответа:
0
Обратим внимание на коэффициенты перед переменными и на свободные члены:
4/1=4
5/1,25=4
2/0,5=4
Следовательно,система имеет бесконечно много решений.
4/1=4
5/1,25=4
2/0,5=4
Следовательно,система имеет бесконечно много решений.
Похожие вопросы
Предмет: История,
автор: dmitrisinaanna821
Предмет: Қазақ тiлi,
автор: taaubaevanadezhda
Предмет: Математика,
автор: mariaeskova2
Предмет: Биология,
автор: evtrubitsina
Предмет: История,
автор: morozovaylyana