Предмет: Математика,
автор: Аноним
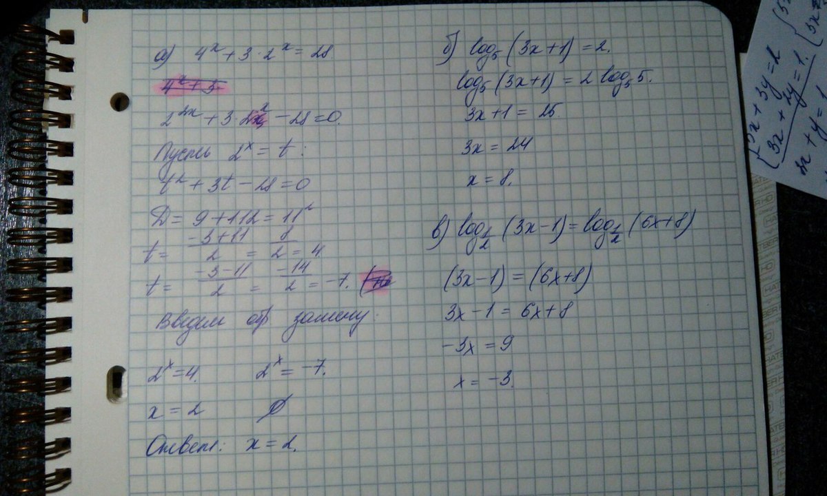
решить уравнения ..помогите пожалуйста ребята
Приложения:
Ответы
Автор ответа:
0
Извини за помарки)))
Приложения:
Автор ответа:
0
Ну, вобщем как-то так!!!!!!!!!!!!
Приложения:
Похожие вопросы
Предмет: Математика,
автор: sarsenbaevaasema384
Предмет: Математика,
автор: ivanovapa43
Предмет: Физика,
автор: Govnozasos
Предмет: География,
автор: Viktorya5
Предмет: Литература,
автор: ЬФ2004