Предмет: Алгебра,
автор: sashajenner
Помогите пожалуйста
С решением :)
Приложения:
Ответы
Автор ответа:
0
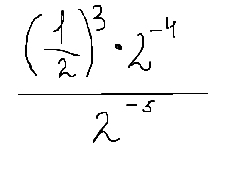
1/2 = это 2 в -1 степени.
Делаешь дальше простые преобразования, получаешь 2^-7/2^-5
Ответ: 0,25
Делаешь дальше простые преобразования, получаешь 2^-7/2^-5
Ответ: 0,25
Автор ответа:
0
Если будут вопросы, то напишу более подробно :)
Автор ответа:
0
должно получиться 1/4 :)
Автор ответа:
0
0,25 это и есть 1/4, проверь на калькуляторе :)
Похожие вопросы
Предмет: История,
автор: zaitovaa5
Предмет: Математика,
автор: dasasema527
Предмет: История,
автор: guldanamuhyseva
Предмет: Математика,
автор: Карина6
Предмет: Геометрия,
автор: tema1413