Предмет: Алгебра,
автор: ConsuLX
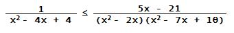
Найти число целых решений неравенства.
См. вложения.
Приложения:
Ответы
Автор ответа:
0
Ответ:3 решения.
перенсем все в левую сторону.Приведем к общему знаменателю.В итоге должно получится: х2-10х+2 / х(х-2)^2 (х-5).
В числителе дискриминант отрицательный,значит выражение всегда положительно и можно на него сократить. Остается только знаменатель. Если сделать методом интервалов,то решениями будут числа :1,3,4.
Автор ответа:
0
1/(x^2-4x+4)<=(5x-21)/((x^2-2x)(x^2-7x+10)
1/(x-2)^2-(5x-21)/(x(x-2)(x-2)(x-5)<=0
1/(x-2)^2-(5x-21)/(x(x-2)^2(x-5)<=0
((x-7)(x-3))/(x(x-5)(x-2)^2)<=0
...
0<x<2
2<x<=3
5<x<=7
Похожие вопросы
Предмет: Математика,
автор: sofapatyuk
Предмет: Геометрия,
автор: feri8284
Предмет: Алгебра,
автор: djdjdjdjxndbxndndn
Предмет: Химия,
автор: Heyguys1
Предмет: Геометрия,
автор: Елена200499