Предмет: Алгебра,
автор: Дигидроортоборат
30 БАЛЛОВ
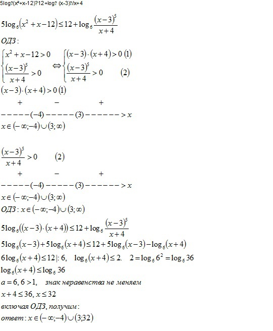
5log₆(x²+x-12)≤12+log₆ (x-3)⁵/x+4
Ответы
Автор ответа:
0
решение во вложении--------------------------
Приложения:
Похожие вопросы
Предмет: Алгебра,
автор: arystanayupov2007
Предмет: Математика,
автор: jdankinanton
Предмет: Алгебра,
автор: ftfgtgtgtgt
Предмет: Алгебра,
автор: irischka0599
Предмет: Литература,
автор: iwanfedorow201