Предмет: Математика,
автор: ymazur1
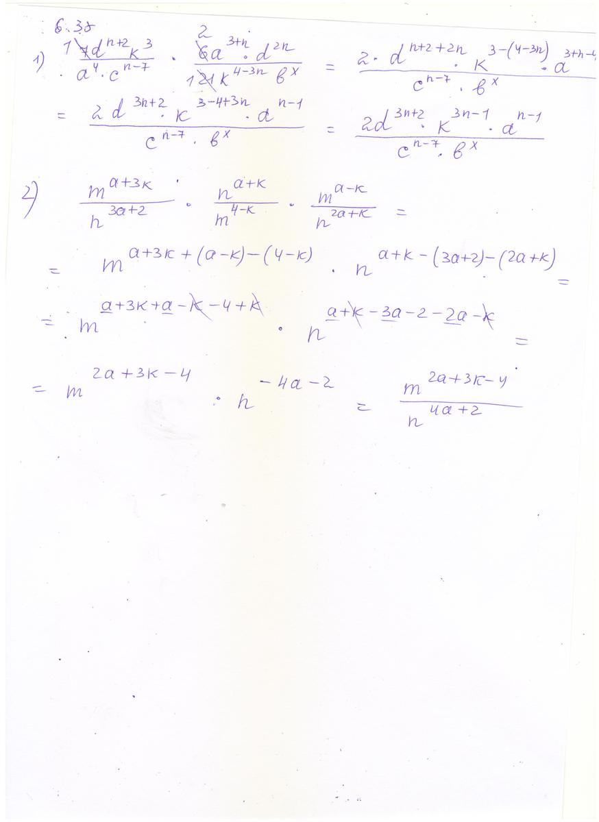
помогите,пожалуйста,номер 6.35
Приложения:
Ответы
Автор ответа:
0
смотри приложенный файл
Приложения:
Похожие вопросы
Предмет: Информатика,
автор: powovi6754
Предмет: Русский язык,
автор: ernaztylygenovich2
Предмет: Қазақ тiлi,
автор: orunbaizere
Предмет: Обществознание,
автор: nadya761