Предмет: Математика,
автор: malakhovaliza
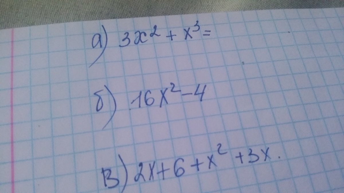
Разложите на множители. PLEAS HELP ME Даю 20 баллов
Приложения:
Ответы
Автор ответа:
0
a) x(3x+x^2)=0
x=0
x^2+3x=0
x(x+3)=0
x=0
x=-3
Ответ: x=0
x=-3
б)16x^2=4
x^2=4/16
x=+-1/2
Ответ: x=+-1/2
в) x^2+5x+6=0
D=25-24=1(1)
x1=(-5-1)/2=-3
x2=(-5+1)/2=-2
Ответ: x1=-3; x2=-2
x=0
x^2+3x=0
x(x+3)=0
x=0
x=-3
Ответ: x=0
x=-3
б)16x^2=4
x^2=4/16
x=+-1/2
Ответ: x=+-1/2
в) x^2+5x+6=0
D=25-24=1(1)
x1=(-5-1)/2=-3
x2=(-5+1)/2=-2
Ответ: x1=-3; x2=-2
Похожие вопросы
Предмет: Английский язык,
автор: ilnura06052011
Предмет: Биология,
автор: Аноним
Предмет: Математика,
автор: Аноним
Предмет: Биология,
автор: 99sergey2504