Предмет: Алгебра,
автор: lii69
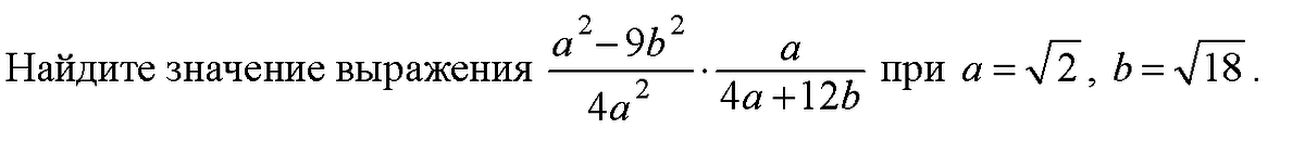
Помогите пожалуйста решить , дам 17 баллов за помощь. Условия на фотографии
Приложения:
Ответы
Автор ответа:
0
=( (а-3b) (a+3b) ) / a (4a) * a / 4(a+3b) =
числитель знамен числ знаменат
= сокращаем = (a-3b) / 16a
при а=√2 b=√18
(√2-3√18) / (16√2) = (√2 - 3√2*9) / (16√2) =
= (1√2 - 3*3√2) / (16√2) = -8√2 / 16√2 = -8/16 = -1/2
прости, не смог прикрепить фото, пришлось заново сюда писать - надеюсь, всё поймёшь. если что - пиши )
числитель знамен числ знаменат
= сокращаем = (a-3b) / 16a
при а=√2 b=√18
(√2-3√18) / (16√2) = (√2 - 3√2*9) / (16√2) =
= (1√2 - 3*3√2) / (16√2) = -8√2 / 16√2 = -8/16 = -1/2
прости, не смог прикрепить фото, пришлось заново сюда писать - надеюсь, всё поймёшь. если что - пиши )
Похожие вопросы
Предмет: Математика,
автор: ruzannabektemirovna
Предмет: Қазақ тiлi,
автор: lalalala2236
Предмет: Қазақ тiлi,
автор: raf4535
Предмет: Физика,
автор: losevaksenia
Предмет: Биология,
автор: Ксениябурмистрова