Предмет: Геометрия,
автор: Simon2000
Пожалуйста, помогите!
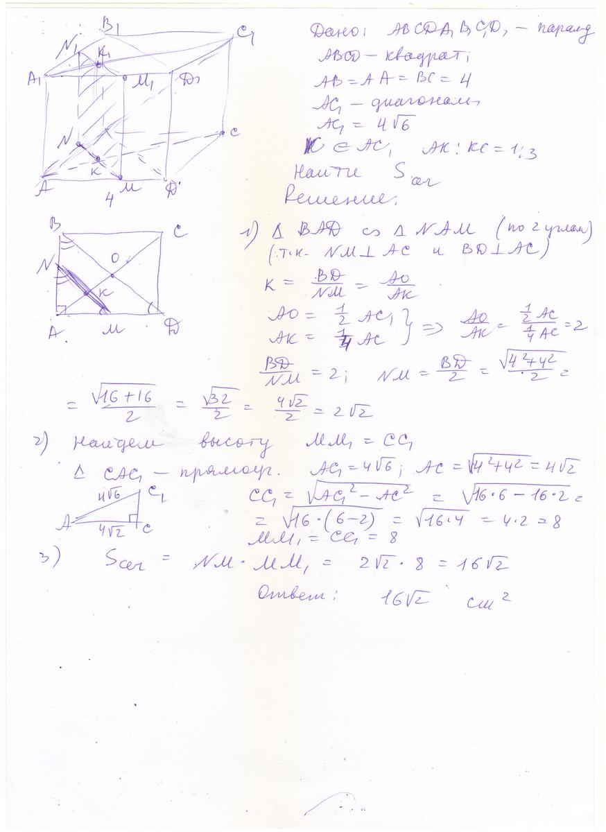
Основанием прямоугольного параллелепипеда ABCDA1B1C1D1 является квадрат ABCD. Точка К лежит на отрезке АС так, что АК:КС=1:3. Вычислите площадь сечения параллелепипеда плоскостью, проходящей через точку К и перпендикулярной прямой АС, если AD=4 см, АС1=4корень из 6 см
СПАСИБО!!!
Ответы
Автор ответа:
0
Проведем через точку к прямую параллельно диагонали BD .Точку пересечения с АВ обозначим М,а с AD -N/
AC=BD=√(2AD²)=AD√2=4√2
AK=KM=KN=1/4*AC=√2
MN=2√2
AA1=BB1+CC1=DD1=√(AC1²-AC²)=√(96-32)=√64=8
Sс=MN*AA1=2√2*8=16√2см²
AC=BD=√(2AD²)=AD√2=4√2
AK=KM=KN=1/4*AC=√2
MN=2√2
AA1=BB1+CC1=DD1=√(AC1²-AC²)=√(96-32)=√64=8
Sс=MN*AA1=2√2*8=16√2см²
Автор ответа:
0
смотри приложенный файл
Приложения:
Похожие вопросы