Предмет: Алгебра, автор: Аноним

Помогите пожалуйста!!!

Приложения:

Ответы

Автор ответа: Рита309
0
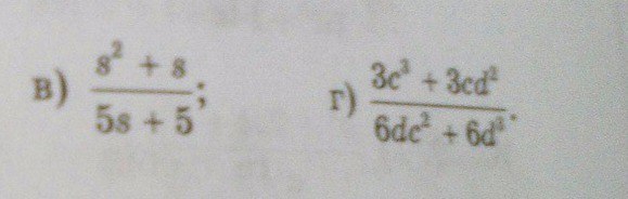
 frac{s(s+1)}{5(s+1}= frac{s}{5}    
 frac{3c(c^{2} +d^{2} )}{6d( c^{2} +d^{2}) }= frac{1c}{2d} =0.5 frac{c}{d}  
 frac{ma(a-m)}{m(m-a)} = -a  
frac{2d^{4}(n-2p)}
{3d^{3}(n-2p) } = frac{2d}{3}
Похожие вопросы
Предмет: Математика, автор: xasa12
Предмет: Биология, автор: Кира260404