Предмет: Математика,
автор: polkanyasha
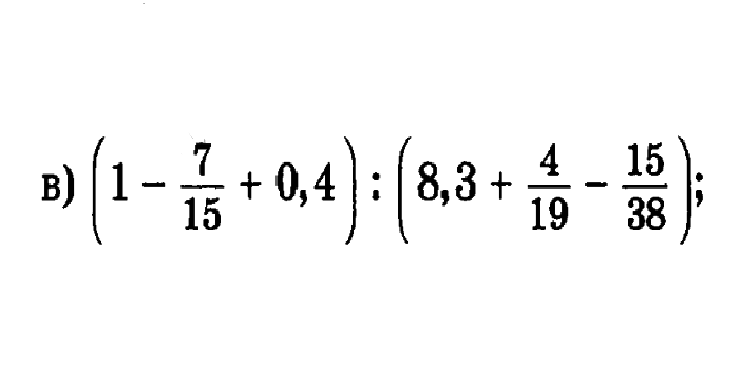
По действиям пожалуйста решите
Приложения:
Ответы
Автор ответа:
0
вроде все считал правильно, но получился такой паршивый ответ
Приложения:
Автор ответа:
0
может она сказала не правильно
Автор ответа:
0
????
Автор ответа:
0
сейчас проверю, у меня числитель в два раза больше вышел. проверю
Автор ответа:
0
пересчитал уже по-другому, ответ получил все равно 266/2313
Автор ответа:
0
Спасибо !!!!!!
Похожие вопросы
Предмет: Английский язык,
автор: nurlyzhanabylkhair9
Предмет: Алгебра,
автор: bdpvat1146
Предмет: Физика,
автор: KINGPIRATEKZ
Предмет: Биология,
автор: dgerric