Предмет: Химия,
автор: BlackFenix1313
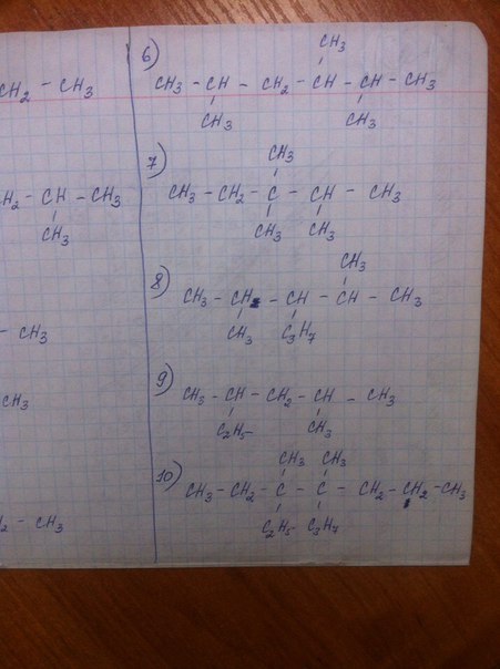
help me please с химией. Назовите цепочку!
Приложения:
Ответы
Автор ответа:
0
6) 2,3,5 триметил гексан
7) 2,3,3 триметил пентан
8) 2,4 диметил 3 пропил пентан
9) 2 метил 4 этил пентан
10)3,4 диметил 4 пропил 3 этил гептан
7) 2,3,3 триметил пентан
8) 2,4 диметил 3 пропил пентан
9) 2 метил 4 этил пентан
10)3,4 диметил 4 пропил 3 этил гептан
Автор ответа:
0
спс
Похожие вопросы
Предмет: Французский язык,
автор: Аноним
Предмет: История,
автор: Аноним
Предмет: Русский язык,
автор: Uiovvggcxfvv
Предмет: Математика,
автор: san2002
Предмет: Литература,
автор: кошка292991