Предмет: Алгебра,
автор: svetlanywka
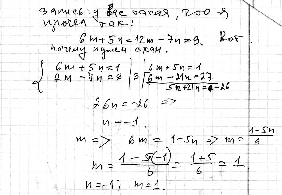
помогите решить линейное уравнение:6m+5n=1 2m-7n=9
Ответы
Автор ответа:
0
решение в скане. Удачи.
Приложения:
Автор ответа:
0
в первом уравнении =1, а у тебя 9. обьясни
Автор ответа:
0
Теперь вижу. Сейчас исправлю.
Автор ответа:
0
изменил
Автор ответа:
0
Спасибо
Автор ответа:
0
В следующий раз - условие лучше сканом.
Похожие вопросы
Предмет: Окружающий мир,
автор: dilnoza0324
Предмет: История,
автор: Аноним
Предмет: Химия,
автор: viktoriagasanova8
Предмет: Алгебра,
автор: Замчаловачка
Предмет: География,
автор: Draculaura