Предмет: Алгебра, автор: guy5

Помогите пожалуйста!????????????????

Приложения:

Ответы

Автор ответа: Аноним
0
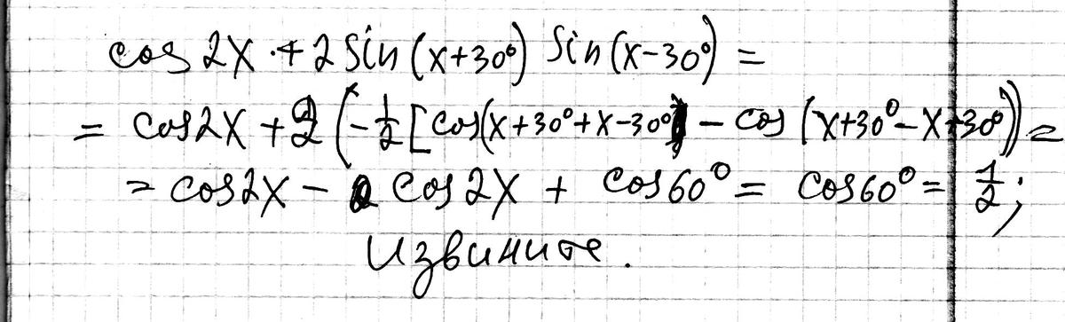
Добавляю. Решение в скане. Извините.
Приложения:
Автор ответа: guy5
0
а как найти вас?
Автор ответа: Аноним
0
Выставьте задачу как обычно и киньте мне адрес.
Автор ответа: guy5
0
Я уже отправил
Автор ответа: guy5
0
но не знаю как скинуть
Автор ответа: Аноним
0
скопируйте адрес страницы и отправьте в сообщении или сюда, в комменты
Похожие вопросы
Предмет: Химия, автор: grand17298
Предмет: Физика, автор: dasazea