Предмет: Алгебра,
автор: ДжонВатсон15
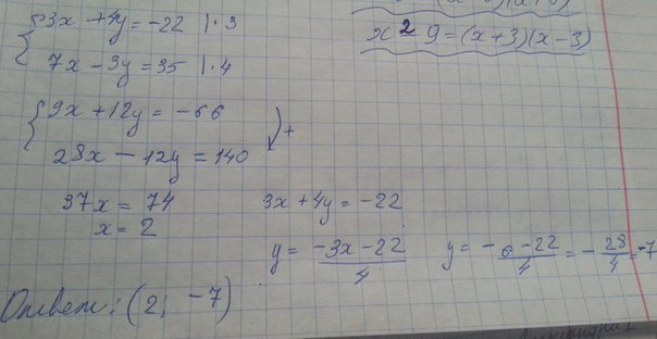
решите систему
3х+4у=-22
7х-3у=35
Ответы
Автор ответа:
0
смотри решение на фото
Приложения:
Похожие вопросы
Предмет: Химия,
автор: msopanova
Предмет: Математика,
автор: milenaborobina
Предмет: Математика,
автор: innaokh
Предмет: Математика,
автор: 1111olga11111
Предмет: Физика,
автор: Yusya98