Предмет: Алгебра,
автор: dirtandroses
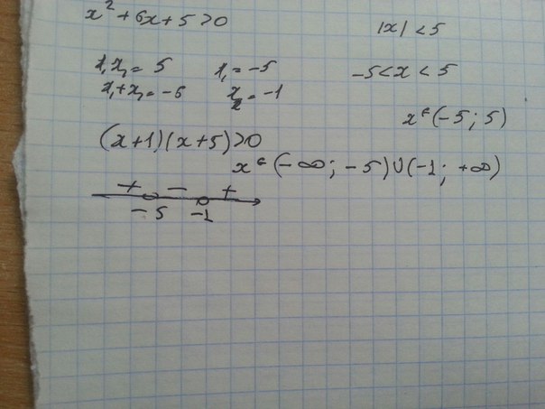
решить систему неравенств: х^2+6х+5>_0 и |х|<5
Ответы
Автор ответа:
0
смотри решение на фото
Приложения:
Похожие вопросы
Предмет: Қазақ тiлi,
автор: dashaaaaaaaaaa94
Предмет: Литература,
автор: yjxgyf68
Предмет: Биология,
автор: zarabigaeva66
Предмет: Обществознание,
автор: juliawest98