Предмет: Математика,
автор: valeriys34
помогите пожалуйста с математикой
Приложения:
Ответы
Автор ответа:
0
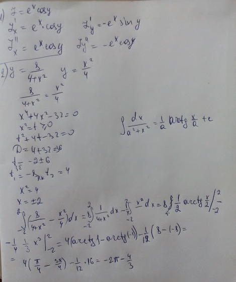
решение смотри в приложении.
Приложения:
Автор ответа:
0
спасибо большое
Похожие вопросы
Предмет: Английский язык,
автор: Аноним
Предмет: Геометрия,
автор: karinnna12
Предмет: Геометрия,
автор: kravanasta2
Предмет: Математика,
автор: kantemirovka2012
Предмет: Алгебра,
автор: Ксюююшаааа