Предмет: Алгебра,
автор: Kate9462012
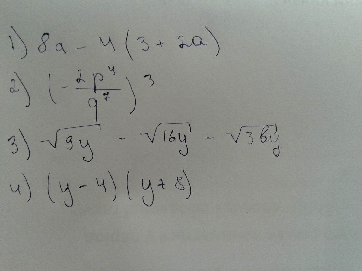
Допоможіть розкрити дужки
Приложения:
Ответы
Автор ответа:
0
1. 8а-4(3+2а)=8а-12-8а=-12
2 и 3 не знаю
4. (у-4)(у+8)=y^2+8y-4y-32=y^2-4y-32
D= 16+128=144
x1= (4+12)/2=8
x2= (4-12)/2=-4
2 и 3 не знаю
4. (у-4)(у+8)=y^2+8y-4y-32=y^2-4y-32
D= 16+128=144
x1= (4+12)/2=8
x2= (4-12)/2=-4
Похожие вопросы
Предмет: Математика,
автор: atakulovasoira
Предмет: Биология,
автор: sohdionaraimbaeva
Предмет: Қазақ тiлi,
автор: sumajasodmonova
Предмет: Информатика,
автор: dakselina