Предмет: Математика,
автор: валериясотникова
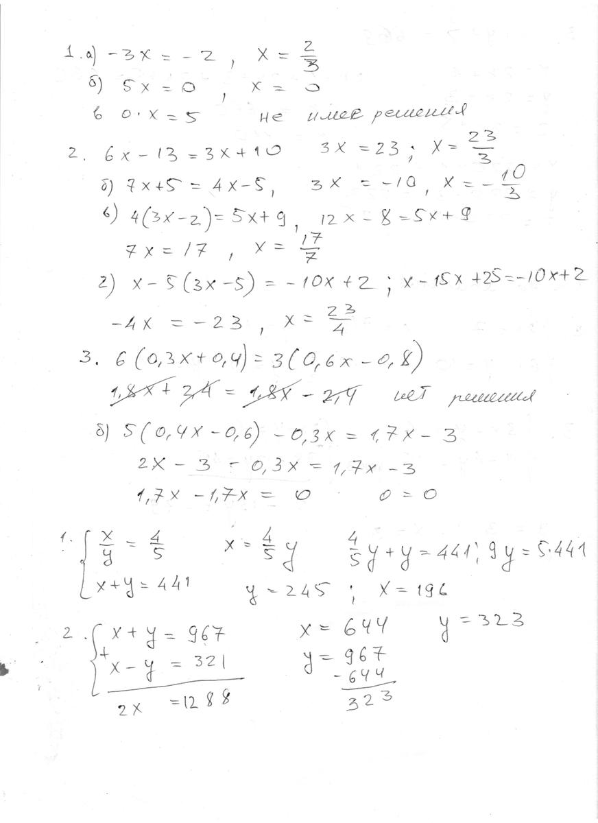
Помогите решить это всё
Приложения:
Ответы
Автор ответа:
0
решение отправил----------------------
Приложения:
Похожие вопросы
Предмет: Қазақ тiлi,
автор: asanataseka885
Предмет: Физика,
автор: Аноним
Предмет: Алгебра,
автор: vovapasichnik
Предмет: Экономика,
автор: sharifbek
Предмет: Литература,
автор: Лика113