Предмет: Алгебра,
автор: aisa9826
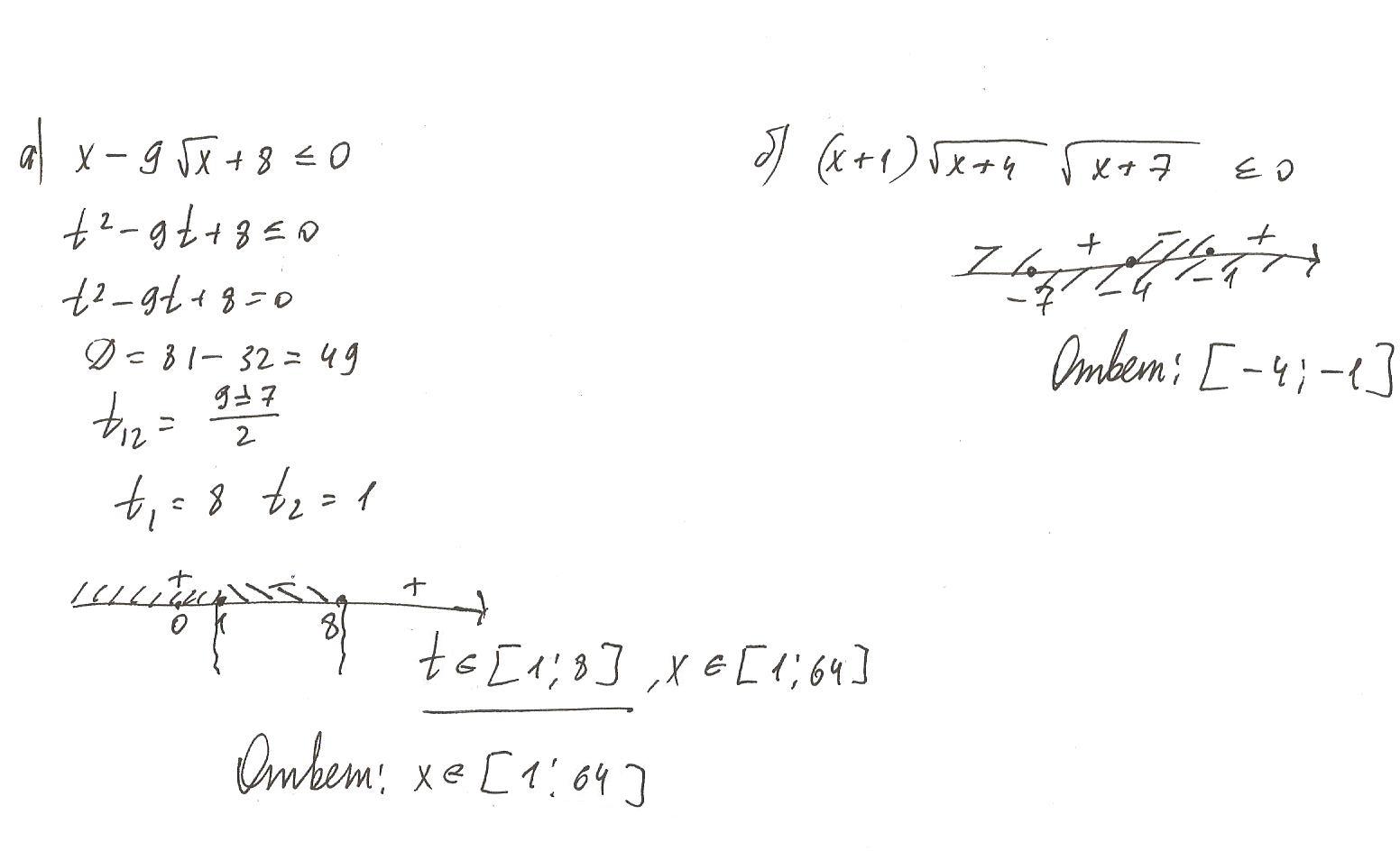
нужно решить неравенства
Приложения:
Ответы
Автор ответа:
0
надеюсь будет понятно....
Приложения:
Похожие вопросы
Предмет: Алгебра,
автор: miya2459
Предмет: Музыка,
автор: askorb1nka
Предмет: Литература,
автор: Аноним
Предмет: Алгебра,
автор: Аноним