Предмет: Математика,
автор: pRo100SuPeR234
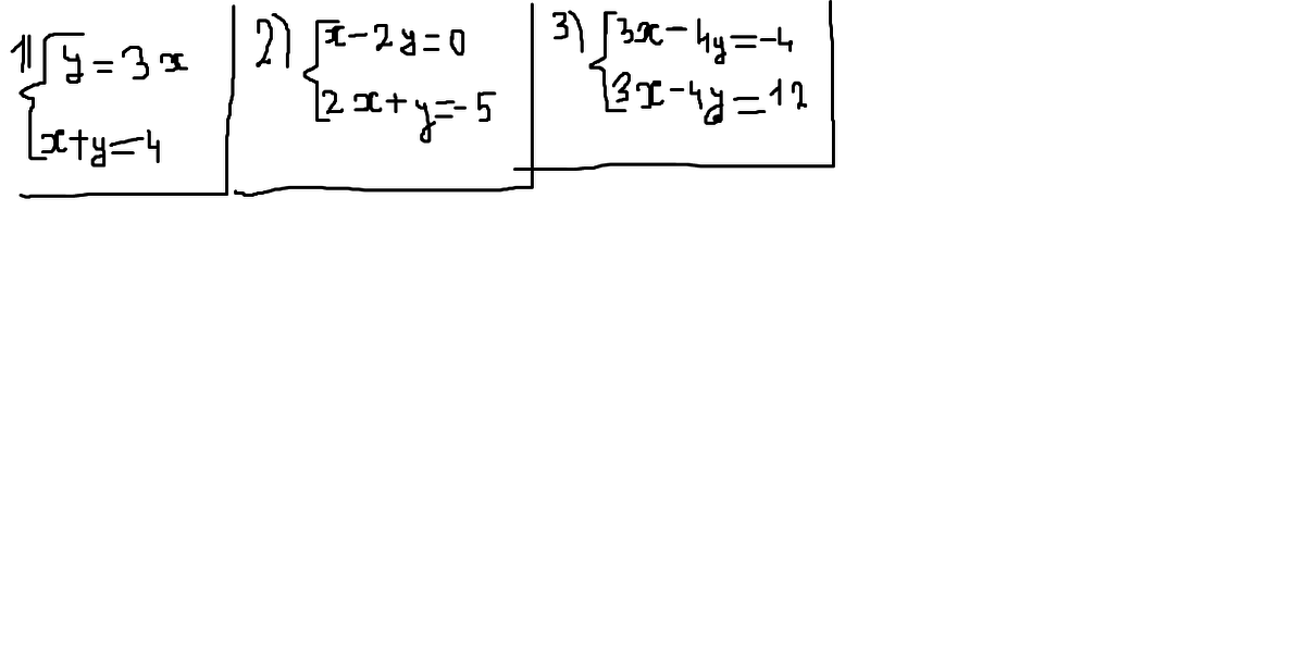
сколько решений имеет система , за решение 73 балла , зорание спасибо
Приложения:
Ответы
Автор ответа:
0
1. х+3х=4
4х=4
х=1
у=3
единственное решение
2. х=2у
2*2у+у=-5
5у=-5
у=-1
х=-2
единственное решение
3. решений нет
4х=4
х=1
у=3
единственное решение
2. х=2у
2*2у+у=-5
5у=-5
у=-1
х=-2
единственное решение
3. решений нет
Похожие вопросы
Предмет: Физика,
автор: Nikita27718742102
Предмет: Русский язык,
автор: nurali2412200728
Предмет: Математика,
автор: anya160210
Предмет: Математика,
автор: mixailandree1