Предмет: Математика,
автор: пува55555
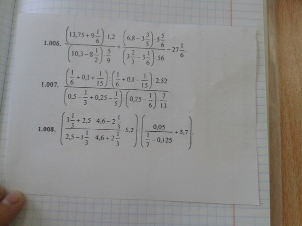
помогите оооооочень срочно!!!!!!!!!!!!!!! решите 3 пример по действиям . Прошу как можно быстрее!
Приложения:
Ответы
Автор ответа:
0
3 1/3+2 1/2=3 2/6+2 3/6=5 5/6
2 1/2-1 1/3=2 3/6-1 2/6=1 1/6
35/6*6/7=5
4 3/5-2 1/3=4 9/15-2 5/15=2 4/15
4 3/5+2 1/3=4 9/15+2 5/15=6 14/15
34/15*15/104=17/52
5*17/52=85/52
85/52*26/5=17/2
1/7-1/8=8/56-7/56=1/56
1/20*56/1=2 4/5
2 4/5+5 7/10=2 8/10+5 7/10=7 15/10=8 1/2
17/2*2/17=1
2 1/2-1 1/3=2 3/6-1 2/6=1 1/6
35/6*6/7=5
4 3/5-2 1/3=4 9/15-2 5/15=2 4/15
4 3/5+2 1/3=4 9/15+2 5/15=6 14/15
34/15*15/104=17/52
5*17/52=85/52
85/52*26/5=17/2
1/7-1/8=8/56-7/56=1/56
1/20*56/1=2 4/5
2 4/5+5 7/10=2 8/10+5 7/10=7 15/10=8 1/2
17/2*2/17=1
Похожие вопросы
Предмет: Информатика,
автор: kisenkosasa9
Предмет: География,
автор: arsenyagapov42
Предмет: География,
автор: alievmagamed2020
Предмет: Математика,
автор: Аноним
Предмет: Алгебра,
автор: kendr1202