Предмет: Алгебра,
автор: borzyhekaterina
РЕШИТЕ ПОЖАЛУЙСТА, ОЧЕНЬ СРОЧНО
Приложения:
Ответы
Автор ответа:
0
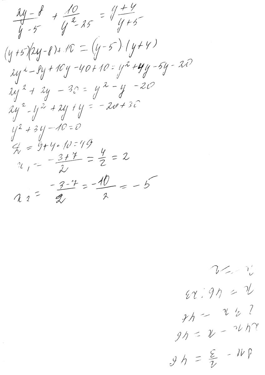
ответ находится во вложении
Приложения:
Автор ответа:
0
Вы забыли про ОДЗ.
Автор ответа:
0
Держи. Если что-нибудь непонятно — спрашивай. :)
Приложения:
Автор ответа:
0
Спасибо большое) А можешь ещё помочь пожалуйста? :)
Автор ответа:
0
Что именно?
Похожие вопросы
Предмет: Геометрия,
автор: mirwodamaksim
Предмет: Алгебра,
автор: taratinovalan
Предмет: Русский язык,
автор: nigarhacizade03
Предмет: Информатика,
автор: mamironova76
Предмет: Математика,
автор: Наталиана