Предмет: Алгебра,
автор: KM231098
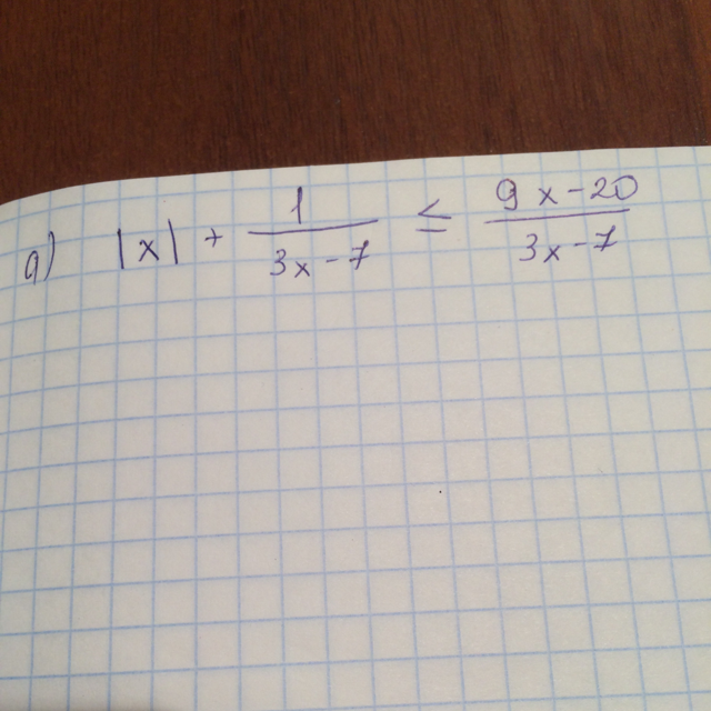
Помогите с алгеброй 11 класс
Приложения:
Ответы
Автор ответа:
0
Решение на фото......
Приложения:
Автор ответа:
0
и это не правильный ответ
Автор ответа:
0
[-3;7/3) (7/3;3]
Автор ответа:
0
ответ я знаю
Автор ответа:
0
мне само решение нужно
Автор ответа:
0
теперь правильно
Похожие вопросы
Предмет: Химия,
автор: huaweipsmartsx
Предмет: Математика,
автор: uhanovdaniil73
Предмет: Геометрия,
автор: tutik14
Предмет: Математика,
автор: Nastynka2004
Предмет: Физика,
автор: Аноним