Предмет: Математика,
автор: ангела8
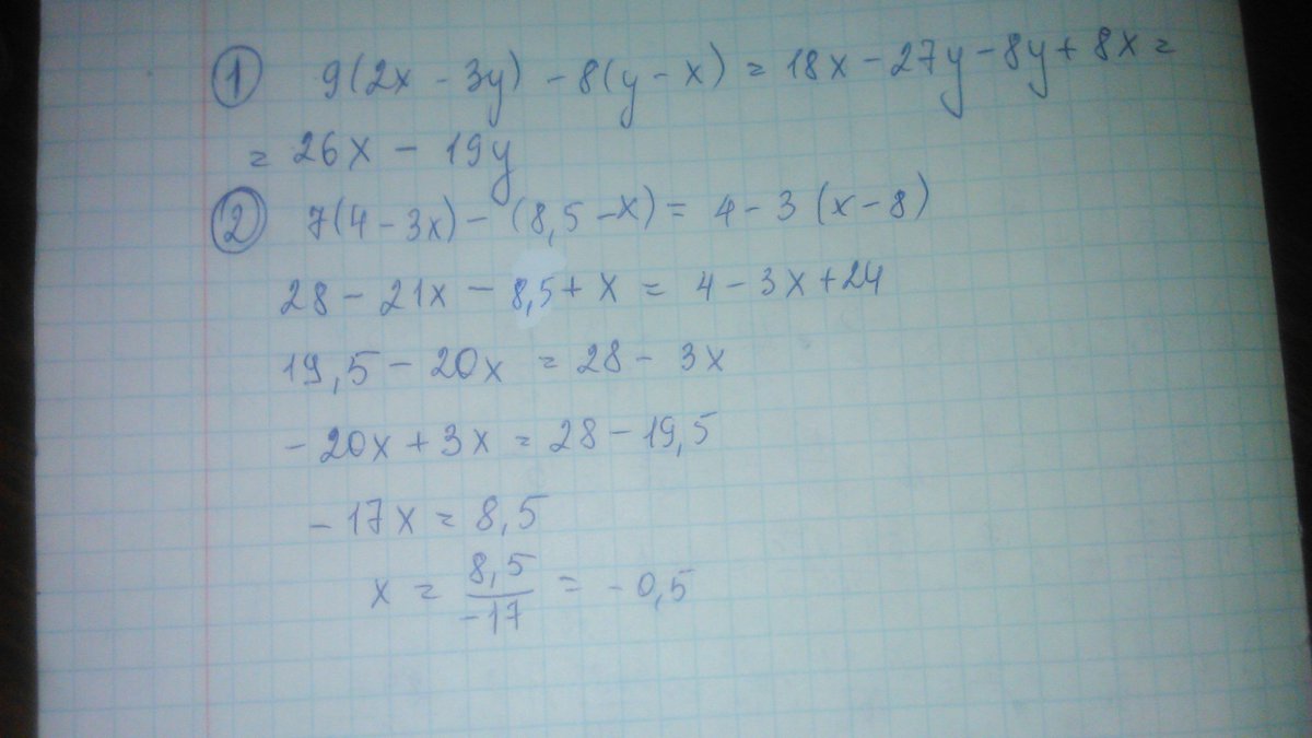
решите пожалуйста 1 и 2 номер
Приложения:
Ответы
Автор ответа:
0
привет) держи мое решение!
Приложения:
Автор ответа:
0
огромное спасибо
Похожие вопросы
Предмет: Қазақ тiлi,
автор: zhasan09
Предмет: Окружающий мир,
автор: Аноним
Предмет: Математика,
автор: yuraoleks97
Предмет: Математика,
автор: Лимпопеська
Предмет: Литература,
автор: JuliaEndMe