Предмет: Математика,
автор: tusurgaliev1
выполнить действия (5,7:0,3-8цеых1/3)×0.75
Ответы
Автор ответа:
0
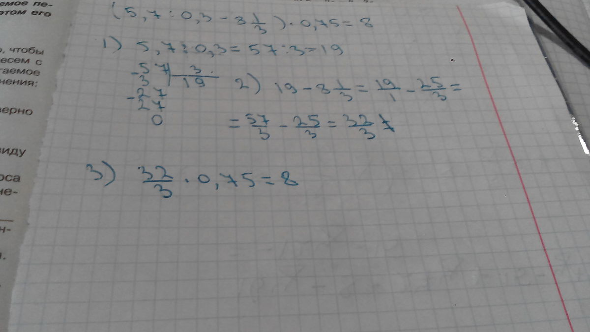
(5,7:0,3-8 1/3)*0,75=8
1)5,7:0,3=19
2)19-8 1/3=18 3/3-8 1/3=10 2/3
3)10 2/3*0,75=10 2/3*3/4=32/3*3/4=8
1)5,7:0,3=19
2)19-8 1/3=18 3/3-8 1/3=10 2/3
3)10 2/3*0,75=10 2/3*3/4=32/3*3/4=8
Автор ответа:
0
если так проверить, и по калькулятору получается 8
Автор ответа:
0
ну, да, у меня была опечатка вместо 32/3 напечатал 32/2,но все исправил,спс))))))))))))))
Автор ответа:
0
вот так, вроде бы правильно!!
Приложения:
Похожие вопросы
Предмет: Информатика,
автор: yaroslavlobko0
Предмет: Қазақ тiлi,
автор: kenesbaevamerei11
Предмет: Физика,
автор: admiral30
Предмет: Математика,
автор: Linka040901
Предмет: Геометрия,
автор: klimenkol21