Предмет: Физика,
автор: DzAnd2006
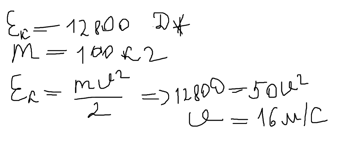
Мопед массой 100 кг разогнался из состояния покоя так, что его кинетическая энергия стала 12800 Дж.
До какой скорости разогнался мопед?
Ответы
Автор ответа:
0
ответ 16м/с
--------------------------------
--------------------------------
Приложения:
Похожие вопросы
Предмет: Геометрия,
автор: axjd
Предмет: Другие предметы,
автор: nastena310590
Предмет: Математика,
автор: daiyrbekkyzykamila
Предмет: Математика,
автор: iraminiv
Предмет: История,
автор: dmytro2002ku