Предмет: Алгебра,
автор: Красотка1259
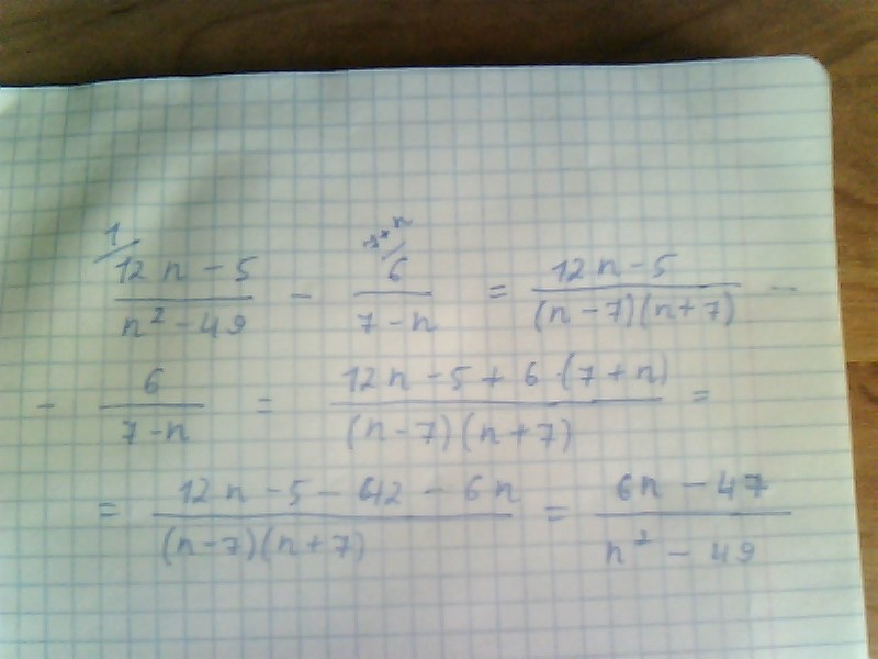
Помогите решить 2 примера ; Задание Найдите сумму или разность алгебраических дробей. ( нужно расписать решение ) во вложених
Приложения:
Ответы
Автор ответа:
0
/////////////////////////////////////////////////////////////////////////////////////////////////////////////////////////////////////////////////////////////////////////////
Приложения:
Автор ответа:
0
Решение во вложении..!
Приложения:
Похожие вопросы
Предмет: Информатика,
автор: Аноним
Предмет: Информатика,
автор: Andryushka7890
Предмет: Математика,
автор: suleimanovilnar7
Предмет: Алгебра,
автор: Ва10
Предмет: Обществознание,
автор: Neko2013