Предмет: Математика,
автор: екатерина13265
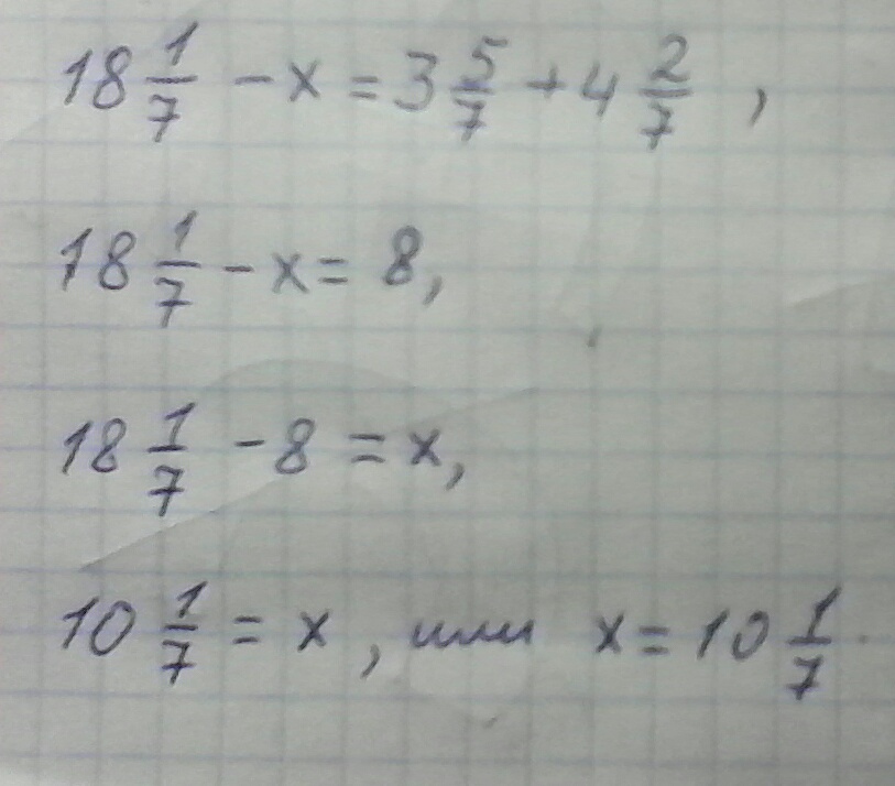
Помогите решить уравнение 18целых1/7 минус икс равно 3целых5/7 плюс 4целых2/7
Ответы
Автор ответа:
0
18 1/7-х=3 5/7+4 2/7
18 1/7-х=56/7
127/7-х=56/7
х=127/7-56/7
х=10 1/7
18 1/7-х=56/7
127/7-х=56/7
х=127/7-56/7
х=10 1/7
Автор ответа:
0
Решение задания в файле.
Приложения:
Похожие вопросы
Предмет: География,
автор: Klenovinka
Предмет: Математика,
автор: dyjn9kfj7a
Предмет: Геометрия,
автор: lizashil
Предмет: Математика,
автор: denlebedev00
Предмет: История,
автор: lesiastep