Предмет: Математика,
автор: Аноним
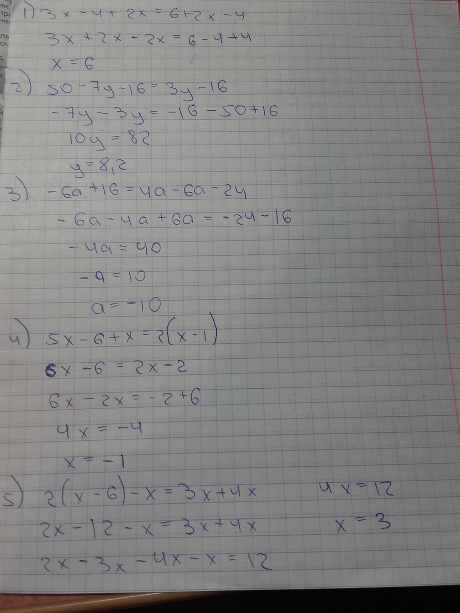
решите уравнение,пожалуйста
Приложения:
Ответы
Автор ответа:
0
Извиняюсь,если где тоне правильно
Приложения:
Автор ответа:
0
вроде как всё правильно. прошу прощение за ошибки,если такие есть
Приложения:
Похожие вопросы
Предмет: Информатика,
автор: s0meer
Предмет: Литература,
автор: veronikaantipova777
Предмет: Русский язык,
автор: masha61021
Предмет: Химия,
автор: софа1460